近日,太阳集团tyc234cc盛立教授团队在非线性系统的状态估计、方差未知情况下随机系统的状态估计、随机系统的间歇故障与微小故障检测等方面研究取得新进展。
进展一:基于多项式滤波技术,研究了旋转导向钻井系统的工具面角估计问题,提高了工具面角的测量精度。相关研究论文“Estimation of Toolface for dynamic point-the-bit rotary steerable systems via nonlinear polynomial filtering”在SCI一区Top期刊“IEEE Transactions on Industrial Electronics”上发表。盛立教授为第一作者和通讯作者,太阳集团tyc234cc为第一署名单位。
进展二:基于变分贝叶斯推断方法,提出了一种新的自适应滚动时域估计算法来处理未知钻井环境下的旋转导向钻井系统的工具面角估计问题。相关研究论文“Variational Bayesian-based moving horizon estimation of Toolface for rotary steerable drilling tool systems”在SCI一区Top期刊“IEEE Transactions on Industrial Electronics”上发表。博士生牛艺春为第一作者,盛立、周东华教授为共同通讯作者,太阳集团tyc234cc为第一署名单位。
进展三:基于动态权值的滚动时域估计算法,首次研究了线性随机系统的分布式间歇故障检测问题,并分析了间歇故障的可检测性。相关研究论文“Distributed intermittent fault detection for linear stochastic systems over sensor networks”在SCI一区Top期刊“IEEE Transactions on Cybernetics”上发表。博士生牛艺春为第一作者,盛立、周东华教授为共同通讯作者,太阳集团tyc234cc为第一署名单位。
进展四:基于移动加权平均算法,提出了一种新的微小故障检测方法,解决了强干扰下旋转导向钻井工具的陀螺仪故障检测问题。相关研究论文“旋转导向钻井工具装备的微小故障检测”在中文核心期刊“中国科学:信息科学”上发表。盛立教授为第一作者,周东华教授为通讯作者,太阳集团tyc234cc为第一署名单位。


图1 旋转导向钻井工具的机械结构

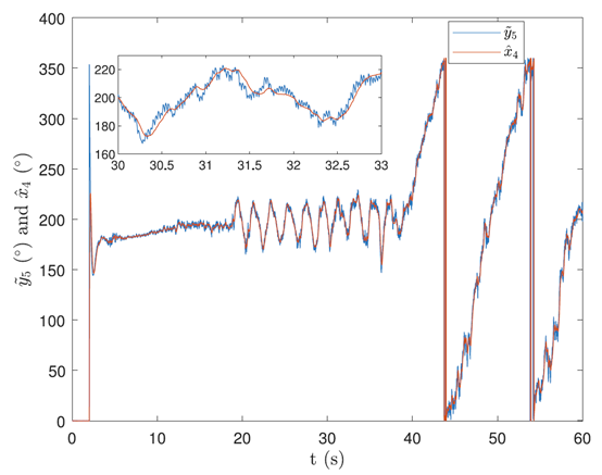
图2 所设计多项式非线性滤波器的估计效果


图3 旋转导向钻井工具应用示意图

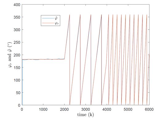
图4 所提方法在噪声方差未知情况下对工具面角的估计效果


图5 基于传感器网络线性随机系统的间歇故障检测流程图

图6 所提方法的间歇故障检测与定位效果


图7 旋转导向钻井工具原理样机图

图8 所提方法的陀螺仪微小故障检测效果
论文列表及下载链接如下:
L. Sheng*, Y. Niu, W. Wang, M. Gao, Y. Geng, D. Zhou. Estimation of Toolface for dynamic point-the-bit rotary steerable systems via nonlinear polynomial filtering. IEEE Transactions on Industrial Electronics, vol. 69, no. 7, pp. 7192-7201, 2022. (SCI 一区)
https://ieeexplore.ieee.org/document/9492860
Y. Niu, L. Sheng*, M. Gao, Y. Wang, D. Zhou*. Variational Bayesian-based moving horizon estimation of Toolface for rotary steerable drilling tool systems. IEEE Transactions on Industrial Electronics, doi: 10.1109/TIE.2022.3153829. (SCI 一区)
https://ieeexplore.ieee.org/document/9724117
Y. Niu, L. Sheng*, M. Gao, D. Zhou*. Distributed intermittent fault detection for linear stochastic systems over sensor networks. IEEE Transactions on Cybernetics, DOI: 10.1109/TCYB.2021.3054123. (SCI 一区)
https://ieeexplore.ieee.org/document/9359533
盛立, 牛艺春, 刘诗洋, 王伟亮, 高明, 周东华*. 旋转导向钻井工具装备的微小故障检测. 中国科学:信息科学, doi/10.1360/SSI-2021-0309.
https://www.sciengine.com/SSI/article?doi=10.1360/SSI-2021-0309&scroll=


实验教学平台
学校OA系统
学校邮件系统
相关文件查询