近日,太阳集团tyc234cc盛立教授团队在动态系统的微小/间歇故障诊断方面取得新进展。
进展一:针对线性随机系统的故障检测问题,设计了卡方检测下的最优检测方法,在给定误报率的情况下确保了最小的漏报率。相关研究论文Optimal Fault Detection for Stochastic Linear Time-Varying Systems by χ2 Test在国际控制领域顶级期刊IEEE Transactions on Automatic Control以长文形式上发表,该工作得到国家自然科学基金重点项目、山东省优青项目等项目的资助,我院博士生牛艺春为第一作者,盛立、周东华教授为共同通讯作者,太阳集团tyc234cc为第一署名单位。IEEE Transactions on Automatic Control是IEEE控制系统学会的旗舰汇刊,致力于发表控制理论、设计与应用方面的高水平论文,被公认为国际控制与自动化领域的两大顶级期刊之一。这是我院首次作为第一单位在该期刊发表长文论文(Regular Paper)。


图1 进展一所提算法故障检测效果
进展二:基于期望最大化方法,提出了一种新的自适应滚动时域估计算法,实现了未知噪声协方差情况下非线性随机系统的故障估计问题。相关研究论文Moving Horizon Fault Estimation for Nonlinear Stochastic Systems with Unknown Noise Covariance Matrices发表在国际仪器测量领域著名期刊IEEE Transactions on Instrumentation and Measurement,该工作得到国家自然科学基金重点项目、山东省优青项目等项目的资助,盛立教授为第一作者,盛立、周东华教授为共同通讯作者,太阳集团tyc234cc为第一署名单位。


图2 进展二所提算法故障估计效果
进展三:基于粒子滤波技术与移动加权平均方法,研究了旋转导向钻井工具的微小传感器故障检测问题。相关研究论文Particle Filter-Based Fault Detection for Toolface Measurement of Rotary Steerable Systems发表在国际仪器测量领域著名期刊IEEE Transactions on Instrumentation and Measurement,该工作得到国家自然科学基金重点项目、山东省优青项目等项目的资助。盛立教授为第一作者,盛立、周东华教授为共同通讯作者,太阳集团tyc234cc为第一署名单位。


图3 进展三所提算法微小故障检测效果
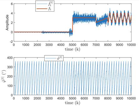
进展四:基于动态事件触发采样机制,提出了一种线性随机系统的间歇故障检测方法,并分析了事件触发机制对间歇故障可检测性的影响。相关研究论文Dynamic Event-Triggered Intermittent Fault Detection for Time-Varying Stochastic Systems发表在国际工业电子领域著名期刊IEEE Transactions on Industrial Electronics,该工作得到国家自然科学基金重点项目、山东省优青项目等项目的资助。高明教授为第一作者,盛立、周东华教授为共同通讯作者,太阳集团tyc234cc为第一署名单位。


图4 进展四所提算法间歇故障检测效果
进展五:针对具有不精确噪声协方差矩阵的随机奇异系统,提出了一种新的自适应滚动时域估计算法,解决了加速度计故障下旋转导向钻井工具的容错估计问题。相关研究论文Moving Horizon Estimation for Stochastic Descriptor Systems With Inaccurate Noise Covariance Matrices发表在国际工业电子领域著名期刊IEEE Transactions on Industrial Electronics,该工作得到国家自然科学基金重点项目、山东省优青项目等项目的资助。我院博士生牛艺春为第一作者,盛立、周东华教授为共同通讯作者,太阳集团tyc234cc为第二署名单位。


图5 进展五所提算法估计效果
盛立教授带领的团队主要从事复杂系统的故障诊断与容错控制、网络化随机系统的控制与滤波、人工智能技术在油气开发数据处理中的应用等领域的研究,近年来在IEEE Transactions on Automatic Control, IEEE Transactions on Instrumentation and Measurement, IEEE Transactions on Industrial Electronics, IEEE Transactions on Cybernetics等国际控制领域权威期刊上发表SCI论文70余篇。
论文列表及链接如下:
[1] Y. Niu, L. Sheng*, M. Gao, D. Zhou*. Optimal fault detection for stochastic linear time-varying systems by χ2test. IEEE Transactions on Automatic Control, doi: 10.1109/TAC.2023.3329528.
https://ieeexplore.ieee.org/document/10305290
[2] L. Sheng*, S. Liu, M. Gao, W. Huai, D. Zhou*. Moving horizon fault estimation for nonlinear stochastic systems with unknown noise covariance matrices. IEEE Transactions on Instrumentation and Measurement, doi: 10.1109/TIM.2023. 3331435.
https://ieeexplore.ieee.org/document/10316331
[3] L. Sheng*, Y. Niu, M. Gao, Y. Geng, D. Zhou*. Particle filter-based fault detection for Toolface measurement of rotary steerable systems. IEEE Transactions on Instrumentation and Measurement, vol. 72, Art. no. 3519511, 2023.
https://ieeexplore.ieee.org/document/10146316
[4] M. Gao, W. Huai, L. Sheng*, D. Zhou*. Dynamic event-triggered intermittent fault detection for time-varying stochastic systems. IEEE Transactions on Industrial Electronics, vol. 71, no. 3, pp. 3074-3082, 2024.
https://ieeexplore.ieee.org/document/10113806
[5] Y. Niu, L. Sheng*, M. Gao, D. Zhou*. Moving horizon estimation for stochastic descriptor systems with inaccurate noise covariance matrices. IEEE Transactions on Industrial Electronics, doi: 10.1109/TIE.2023.3325555.
https://ieeexplore.ieee.org/document/10304410


实验教学平台
学校OA系统
学校邮件系统
相关文件查询